基本信息:
中文名称 N-(4-吡啶甲基)乙胺
中文别名 4-(乙氨甲基)吡啶;4-(乙基胺甲基)吡啶;N-乙基-4-吡啶甲胺;
英文名称 N-(pyridin-4-ylmethyl)ethanamine
英文别名 N-ethyl-N-4-picolylamine;4-(EthylaMinoMethyl)pyridine;N-Ethyl-4-picolylamine;4-Picolyl ethyl amine;N-(4-Pyridylmethyl)ethylamine;N-Ethyl-4-pyridinemethanamine;
CAS号 33403-97-3
合成路线:
1.通过4-吡啶甲醛合成N-(4-吡啶甲基)乙胺

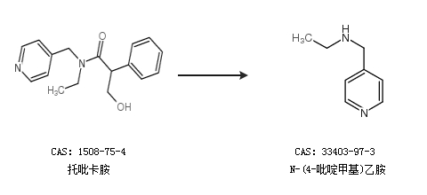
2.通过托吡卡胺合成N-(4-吡啶甲基)乙胺

中华试剂网提醒:合成路线仅供参考