基本信息:
中文名称 N-(2,3-二氯-6-氨基苄基)甘氨酸乙酯
中文别名 乙基2-(6-氨基-2,3-二氯苄)甘氨酸;
英文名称 Ethyl N-(2,3-dichloro-6-aminobenzyl)glcycine
英文别名 6-amino-2,3-dichlorobenzylglycine ethyl ester;
CAS号 70406-92-7
合成路线:
1.通过N-(6-硝基-2.3-二氯苄基)甘氨酸乙酯合成N-(2,3-二氯-6-氨基苄基)甘氨酸乙酯

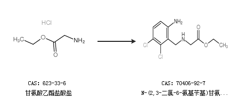
2.通过甘氨酸乙酯盐酸盐合成N-(2,3-二氯-6-氨基苄基)甘氨酸乙酯

中华试剂网提醒:合成路线仅供参考