基本信息:
中文名称 l-酪胺基乙酸肼
中文别名 L-酪氨酸乙酸肼;L-酪胺基乙酸肼;L-酪氨酰肼;
英文名称 L-TYROSINE HYDRAZIDE
英文别名 H-TYR-NHNH2;L-tyrosinohydrazide;l-thyrosine hydrazide;Tyrosinehydrazide;L-Tyrosin-hydrazid;
CAS号 7662-51-3
合成路线:
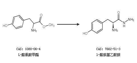
1.通过L-酪氨酸甲酯盐酸盐合成l-酪胺基乙酸肼

2.通过L-酪氨酸甲酯合成l-酪胺基乙酸肼

中华试剂网提醒:合成路线仅供参考