基本信息:
中文名称 L-高胱氨酸
中文别名 L-高胱氨酸;L-4,4''-二硫双(2-氨基丁酸);
英文名称 homocystine
英文别名 4,4''-Dithiobis[2-aminobutyric acid];4,4''-Disulfanediylbis(2-aminobutanoic acid);4,4''-dithiobis[2-aminobutyric] acid;L-4,4''-dithio-bis(2-aminobutanoic acid);4,4''-dithiobis[2-amino-Butanoic acid];4,4-Dithiobis[2-Aminobutyric] Acid;DL-Homocystine;L-4,4''-Dithiobis(2-aminobutyric acid);L-Homocystine;4,4-Dithiobis[2-Amino-Butanoic Acid];
CAS号 462-10-2
合成路线:
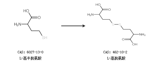
1.通过L-高半胱氨酸合成L-高胱氨酸

2.通过L-高半胱氨酸合成L-高胱氨酸

中华试剂网提醒:合成路线仅供参考