你好,欢迎来到中华试剂网 购试剂 买耗材! [请登录][注册有惊喜]

货号快速下单 | 签到送积分   | 会员中心 | 客服热线:400-021-2765

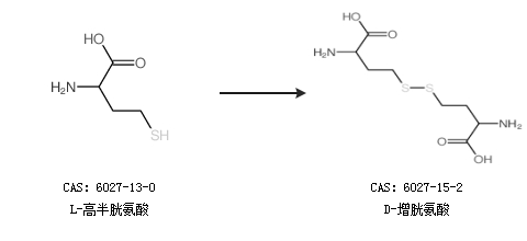
D-增胱氨酸的合成路线

提问时间:2021/4/23 8:56:12
D-增胱氨酸有什么方法可以合成?

1条回复:

匿名
2021/4/23 8:56:12
基本信息:
中文名称 D-增胱氨酸
英文名称 (2R)-2-amino-4-[[(3R)-3-amino-3-carboxypropyl]disulfanyl]butanoic acid
英文别名 D-Homocystine;Homocystine,D;UNII-56R9N4RH5F;
CAS号 6027-15-2

合成路线:
1.通过L-高半胱氨酸合成D-增胱氨酸


2.通过L-高半胱氨酸合成D-增胱氨酸


中华试剂网提醒:合成路线仅供参考
回复