基本信息:
中文名称 D-天冬酰胺
英文名称 D-asparagine
英文别名 D-Asparagine;asparagine;(R)-2,4-Diamino-4-oxobutanoic acid;(2R)-2,4-diamino-4-oxobutanoic acid;H-D-Asn-OH.H2O;Asparagine D-form;H-D-Asn-OH;H-D-Asn-OH·H2O;
CAS号 2058-58-4
合成路线:
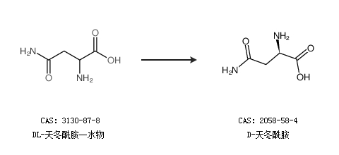
1.通过DL-天冬酰胺一水物合成D-天冬酰胺

2.通过马来酸酐合成D-天冬酰胺

中华试剂网提醒:合成路线仅供参考