基本信息:
中文名称 D-N-Boc-3-甲基吗啉
英文名称 tert-butyl (3S,5S,6R)-3-bromo-2-oxo-5,6-diphenylmorpholine-4-carboxylate
英文别名 (3S,5S,6R)-tert-Butyl 3-bromo-2-oxo-5,6-diphenylmorpholine-4-carboxylate;D-N-Boc-3-methyl morpholine;(3S,5S,6R)-3-bromo-4(tert-butoxycarbonyl)-5,6-diphenyl-2,3,5,6-tetrahydro-4H-1,4-oxazin-2-one;
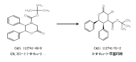
CAS号 112741-51-2
合成路线:
1.通过(2R,3S)-(-)-N-Boc-2,3-二苯基-6-氧代吗啉合成D-N-Boc-3-甲基吗啉

2.通过(1R,2S)-(-)-2-氨基-1,2-二苯基乙醇合成D-N-Boc-3-甲基吗啉

中华试剂网提醒:合成路线仅供参考