你好,欢迎来到中华试剂网 购试剂 买耗材! [请登录][注册有惊喜]

货号快速下单 | 签到送积分   | 会员中心 | 客服热线:400-021-2765

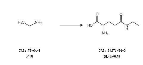
DL-茶氨酸的合成路线

提问时间:2021/4/23 8:56:12
DL-茶氨酸有什么方法可以合成?

1条回复:

匿名
2021/4/23 8:56:12
基本信息:
中文名称 DL-茶氨酸
中文别名 N-乙基-L-谷氨酰胺;2-氨基-4-(乙基氨基甲酰)丁酸;
英文名称 L-Theanine
英文别名 2-Amino-5-(ethylamino)-5-oxopentanoic acid;N5-ethyl-L-glutamine;
CAS号 34271-54-0

合成路线:
1.通过乙胺合成DL-茶氨酸


2.通过谷氨酸和盐酸甲胺合成DL-茶氨酸


中华试剂网提醒:合成路线仅供参考
回复