基本信息:
中文名称 DL-3-硝基苯丙氨酸
英文名称 3-NITRO-DL-PHENYLALANINE
英文别名 DL-m-Nitrophenylalanin;m-nitrophenylacetylene;3-Nitrophenylacetylene;3-ethynylnitrobenzene;m-nitrophenylalanine;m-Nitro-phenylalanin;1-ethynyl-3-nitro-benzene;Benzene,1-ethynyl-3-nitro;1-Aethinyl-3-nitro-benzol;3-Nitro-phenylalanin;3-Nitrophenylethyne;3-nitro-phenylalanine;
CAS号 22888-56-8
合成路线:
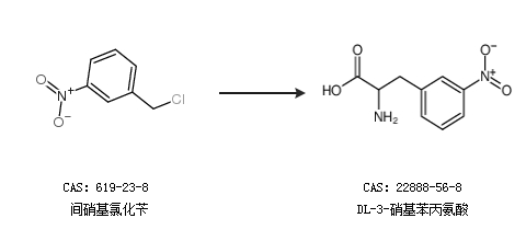
1.通过间硝基氯化苄合成DL-3-硝基苯丙氨酸

中华试剂网提醒:合成路线仅供参考