基本信息:
中文名称 D-6-氧代哌啶-2-甲酸
中文别名 (R)-6-氧代-哌啶-2-羧酸;
英文名称 (2R)-6-oxopiperidine-2-carboxylic acid
英文别名 D-6-oxopipecolic acid;6-OXO-PIPECOLIC ACID;(R)-6-oxopiperidine-2-carboxylic acid;(R)-6-Oxo-piperidin-2-carbonsaeure;D-6-Oxopipecolinic acid;
CAS号 72002-30-3
合成路线:
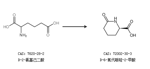
1.通过D-2-氨基己二酸合成D-6-氧代哌啶-2-甲酸

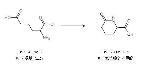
2.通过DL-a-氨基己二酸合成D-6-氧代哌啶-2-甲酸

中华试剂网提醒:合成路线仅供参考