基本信息:
中文名称 CYCLO(-PRO-VAL)
英文名称 (3S,8aS)-3-propan-2-yl-2,3,6,7,8,8a-hexahydropyrrolo[1,2-a]pyrazine-1,4-dione
英文别名 Cyclo(-Pro-Val);cyclo-(L-Val-L-Pro);cyclo(-L-pro-L-val-);(3S,8aS)-3-Isopropylhexahydropyrrolo[1,2-a]pyrazine-1,4-dione;
CAS号 2854-40-2
合成路线:
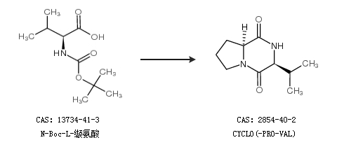
1.通过N-Boc-L-缬氨酸合成CYCLO(-PRO-VAL)

2.通过BOC-L-脯氨酸和L-缬氨酸甲酯盐酸盐合成CYCLO(-PRO-VAL)

中华试剂网提醒:合成路线仅供参考