基本信息:
中文名称 BOC-DL-4-氟苯丙氨酸
英文名称 3-(4-fluorophenyl)-2-[(2-methylpropan-2-yl)oxycarbonylamino]propanoic acid
英文别名 Boc-L-Phe(4-F)-OH;Boc-DL-Phg-OH;N-(tert-butoxycarbonyl)-4-fluoro-L-phenylalanine;2-((tert-Butoxycarbonyl)amino)-3-(4-fluorophenyl)propanoic acid;(S)-2-((tert-butoxycarbonyl)amino)-3-(4-fluorophenyl)propanoic acid;Boc-P-Fluoro-Dl-Phe-Oh;boc-Phe(4-F)-OH;BOC-d-4-Fluorophenylalanine;
CAS号 79561-25-4
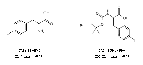
合成路线:
1.通过DL-对氟苯丙氨酸合成BOC-DL-4-氟苯丙氨酸

2.通过L-4-氟苯丙氨酸合成BOC-DL-4-氟苯丙氨酸

中华试剂网提醒:合成路线仅供参考