基本信息:
中文名称 A-氧代-1H-吡咯并[2,3-B]吡啶-3-乙酸
中文别名 7-氮杂吲哚-3-乙醛酸乙酯;
英文名称 ethyl 2-oxo-2-(1H-pyrrolo[2,3-b]pyridin-3-yl)acetate
英文别名 ethyloxopyrrolobpyridinylacetate;1H-PYRROLO[2,3-B]PYRIDINE-3-ACETIC ACID,A-OXO-,ETHYL ESTER;ethyl 2-( 7-azaindol-3-yl)-2-oxoacetate;ethyl 2-oxo-2-{1H-pyrrolo[2,3-b]pyridin-3-yl}acetate;oxo-(1H-pyrrolo[2,3-b]pyridin-3-yl)-acetic acid ethyl ester;7-azaindol-3-glyoxylate;
CAS号 626604-80-6
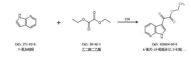
合成路线:
1.通过7-氮杂吲哚和草酰氯单乙酯合成A-氧代-1H-吡咯并[2,3-B]吡啶-3-乙酸,收率约50%;

2.通过7-氮杂吲哚和乙二酸二乙酯合成A-氧代-1H-吡咯并[2,3-B]吡啶-3-乙酸,收率约23%;

中华试剂网提醒:合成路线仅供参考