你好,欢迎来到中华试剂网 购试剂 买耗材! [请登录][注册有惊喜]

货号快速下单 | 签到送积分   | 会员中心 | 客服热线:400-021-2765

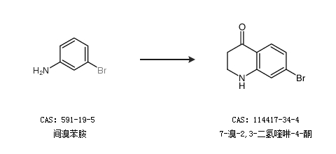
7-溴-2,3-二氢喹啉-4-酮的合成路线

提问时间:2021/4/23 8:56:12
7-溴-2,3-二氢喹啉-4-酮有什么方法可以合成?

1条回复:

匿名
2021/4/23 8:56:12
基本信息:
中文名称 7-溴-2,3-二氢喹啉-4-酮
英文名称 7-bromo-2,3-dihydro-1H-quinolin-4-one
英文别名 QC-5263;AmbkkkkK730;
CAS号 114417-34-4

合成路线:
1.通过间溴苯胺合成7-溴-2,3-二氢喹啉-4-酮


中华试剂网提醒:合成路线仅供参考
回复