你好,欢迎来到中华试剂网 购试剂 买耗材! [请登录][注册有惊喜]

货号快速下单 | 签到送积分   | 会员中心 | 客服热线:400-021-2765

7-溴-2,3-二甲基吡啶并[2,3-b]吡嗪的合成路线

提问时间:2021/4/23 8:56:12
7-溴-2,3-二甲基吡啶并[2,3-b]吡嗪有什么方法可以合成?

1条回复:

匿名
2021/4/23 8:56:12
基本信息:
中文名称 7-溴-2,3-二甲基吡啶并[2,3-b]吡嗪
英文名称 7-BROMO-2,3-DIMETHYLPYRIDO[2,3-B]PYRAZINE
CAS号 52333-43-4

合成路线:
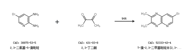
1.通过2,3-二氨基-5-溴吡啶和2,3-丁二酮合成7-溴-2,3-二甲基吡啶并[2,3-b]吡嗪,收率约94%;


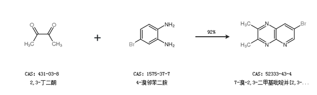
2.通过2,3-丁二酮和4-溴邻苯二胺合成7-溴-2,3-二甲基吡啶并[2,3-b]吡嗪,收率约92%;


中华试剂网提醒:合成路线仅供参考
回复