基本信息:
中文名称 7-羟基-4-氧代-4H-苯并吡喃-2-羧酸乙酯
英文名称 ethyl 7-hydroxy-4-oxochromene-2-carboxylate
英文别名 4H-1-Benzopyran-2-carboxylic acid,7-hydroxy-4-oxo-,ethyl ester;2-carboethoxy-7-hydroxy-4-oxo-4H-1-benzopyran;7-hydroxy-4-oxo-4H-chromene-2-carboxylic acid ethyl ester;ethyl 7-hydroxy-4-oxochromen-2-carboxylate;Ethyl 7-hydroxy-4-oxo-4H-chromene-2-carboxylate;ethyl 7hydroxychromone-2-carboxylate;ethyl 7-hydroxy-4-oxo-4H-1-benzopyran-2-carboxylate;
CAS号 23866-72-0
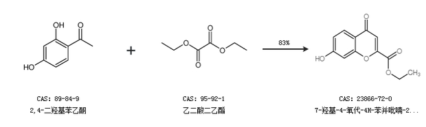
合成路线:
1.通过2,4-二羟基苯乙酮和乙二酸二乙酯合成7-羟基-4-氧代-4H-苯并吡喃-2-羧酸乙酯,收率约83%;

2.通过乙二酸二乙酯合成7-羟基-4-氧代-4H-苯并吡喃-2-羧酸乙酯,收率约68%;

中华试剂网提醒:合成路线仅供参考