你好,欢迎来到中华试剂网 购试剂 买耗材! [请登录][注册有惊喜]

货号快速下单 | 签到送积分   | 会员中心 | 客服热线:400-021-2765

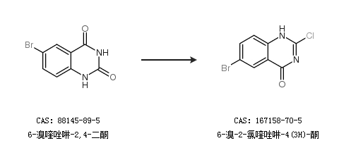
6-溴-2-氯喹唑啉-4(3H)-酮的合成路线

提问时间:2021/4/23 8:56:11
6-溴-2-氯喹唑啉-4(3H)-酮有什么方法可以合成?

1条回复:

匿名
2021/4/23 8:56:11
基本信息:
中文名称 6-溴-2-氯喹唑啉-4(3H)-酮
英文名称 6-Bromo-2-chloroquinazolin-4(3H)-one
英文别名 6-bromo-2-chloro-1H-quinazolin-4-one;
CAS号 167158-70-5

合成路线:
1.通过2,4-二氯-6-溴喹唑啉合成6-溴-2-氯喹唑啉-4(3H)-酮,收率约87%;


2.通过6-溴喹唑啉-2,4-二酮合成6-溴-2-氯喹唑啉-4(3H)-酮


中华试剂网提醒:合成路线仅供参考
回复