基本信息:
中文名称 6-三氟甲基尿嘧啶
中文别名 6-(三氟甲基)尿嘧啶;6-(三氟甲基)尿嘧啶;2,4-二羟基-6-三氟甲基嘧啶;2,4-二羟基-6-三氟甲基嘧啶;2,4-二羟基-6-三氟甲基嘧啶[6-(三氟甲基)尿嘧啶];2,4-二羟基-6-三氟甲基吡啶;
英文名称 6-(Trifluoromethyl)uracil
英文别名 6-(trifluoromethyl)-1H-pyrimidine-2,4-dione;
CAS号 672-45-7
合成路线:
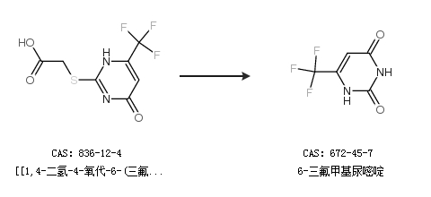
1.通过[[1,4-二氢-4-氧代-6-(三氟甲基)-2-嘧啶]硫代]-乙酸合成6-三氟甲基尿嘧啶

2.通过2-甲氧基-6-(三氟甲基)嘧啶-4-醇合成6-三氟甲基尿嘧啶,收率约82%;

中华试剂网提醒:合成路线仅供参考