基本信息:
中文名称 6-羟基 1H-吲哚-3-羧酸甲酯
英文名称 Methyl 6-hydroxy-1H-indole-3-carboxylate
英文别名 6-Hydroxyhex-2-insaeuremethylester;6-Hydroxy-2-hexynoicacid methyl ester;2-Hexynoic acid,6-hydroxy-,methyl ester;6-Hydroxy 1H-indole-3-carboxylic acid methyl ester;METHYL 6-HYDROXY-2-HEXYNOATE;6-hydroxy-3-methoxycarbonylindole;6-hydroxy-hex-2-ynoic acid methyl ester;methyl 6-hydroxy-indole-3-carboxylate;
CAS号 112332-97-5
合成路线:
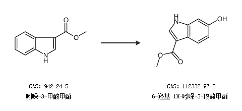
1.通过吲哚-3-甲酸甲酯合成6-羟基 1H-吲哚-3-羧酸甲酯

中华试剂网提醒:合成路线仅供参考