基本信息:
中文名称 6-氨基-2-萘甲醇
英文名称 (6-aminonaphthalen-2-yl)methanol
英文别名 2-AMINONAPHTHALENE-6-METHANOL;2-Naphthalenemethanol,6-amino;(2-AMINONAPHTHALEN-6-YL)METHANOL;2-AMINO-6-(HYDROXYMETHYL)NAPHTHALENE;(6-aminonaphthyl)methanol;(6-amino-2-naphthalenyl)methanol;
CAS号 393522-70-8
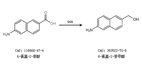
合成路线:
1.通过6-氨基-2-萘酸合成6-氨基-2-萘甲醇,收率约94%;

2.通过6-氨基-2-萘甲酸甲酯合成6-氨基-2-萘甲醇

中华试剂网提醒:合成路线仅供参考