基本信息:
中文名称 5-溴-1H-吲哚-7-羧酸
英文名称 5-Bromo-1H-indole-7-carboxylic acid
英文别名 5-bromo-1H-indole-7-caboxylic acid;1H-Indole-7-carboxylic acid,5-bromo;5-Bromo indole-7-carboxylic acid;
CAS号 860624-90-4
合成路线:
1.通过吲哚啉合成5-溴-1H-吲哚-7-羧酸

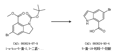
2.通过1-n-boc-5-溴-2,3-二氢-1H-吲哚-7-羧酸甲酯合成5-溴-1H-吲哚-7-羧酸

中华试剂网提醒:合成路线仅供参考