基本信息:
中文名称 5-甲基-2''-脱氧胞苷
中文别名 5-甲基-2’-脱氧胞苷;5-甲基-2''-脱氧胞嘧啶核苷;2''-脱氧-5-甲基胞苷;
英文名称 5-methyl-2''-deoxycytidine
英文别名 2''-Deoxy-5-methylcytidine;4-amino-1-[(2R,4S,5R)-4-hydroxy-5-(hydroxymethyl)oxolan-2-yl]-5-methylpyrimidin-2-one;
CAS号 838-07-3
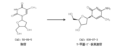
合成路线:
1.通过1-(3,5-二-o-乙酰基-beta-d-呋喃核糖)-4-(1,2,4-噻唑-l-基)-5-甲基-2-嘧啶酮合成5-甲基-2''-脱氧胞苷,收率约85%;

2.通过胸苷合成5-甲基-2''-脱氧胞苷

中华试剂网提醒:合成路线仅供参考