你好,欢迎来到中华试剂网 购试剂 买耗材! [请登录][注册有惊喜]

货号快速下单 | 签到送积分   | 会员中心 | 客服热线:400-021-2765

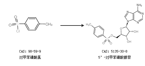
5’-对甲苯磺酸腺苷的合成路线

提问时间:2021/4/23 8:56:07
5’-对甲苯磺酸腺苷有什么方法可以合成?

1条回复:

匿名
2021/4/23 8:56:07
基本信息:
中文名称 5’-对甲苯磺酸腺苷
中文别名 5''-对甲苯磺酰氯腺苷;5''-对甲苯磺酸腺苷;
英文名称 5''-Tosyl Adenosine
英文别名 5''-Tosyladenosine;5’-Tosyl Adenosine;
CAS号 5135-30-8

合成路线:
1.通过N6-苯甲酰基腺苷合成5’-对甲苯磺酸腺苷


2.通过对甲苯磺酰氯合成5’-对甲苯磺酸腺苷


中华试剂网提醒:合成路线仅供参考
回复