基本信息:
中文名称 4-羟基间苯二甲酸
中文别名 4-羟基-1,3-苯二甲酸;乙酰水杨酸杂质B;4-羟基-1,3-苯二甲酸;对羟基间苯二甲酸;4-羟基 异邻苯二甲酸;
英文名称 4-Hydroxyisophthalic acid
英文别名 4-hydroxybenzene-1,3-dicarboxylic acid;
CAS号 636-46-4
合成路线:
1.通过4-溴-1,3-苯二甲酸合成4-羟基间苯二甲酸,收率约94%;

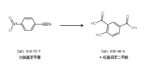
2.通过对硝基苯甲腈合成4-羟基间苯二甲酸

中华试剂网提醒:合成路线仅供参考