基本信息:
中文名称 4-甲基吡啶-2-甲酸
中文别名 2-羧酸-4-甲基吡啶;4-甲基-2-羧酸吡啶;
英文名称 4-Methylpicolinic acid
英文别名 4-methylpyridine-2-carboxylic acid;4-Methylpyridine-2-carboxylic acid;
CAS号 4021-08-3
合成路线:
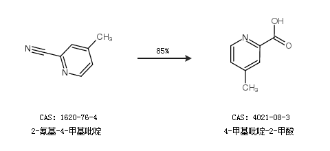
1.通过2-氰基-4-甲基吡啶合成4-甲基吡啶-2-甲酸,收率约85%;

2.通过2-(溴甲基)-4-甲基吡啶合成4-甲基吡啶-2-甲酸,收率约79%;

中华试剂网提醒:合成路线仅供参考