基本信息:
中文名称 4-氟-1-[三(1-甲基乙基)硅酯]-1H-吡咯并[2,3-B]吡啶
英文名称 (4-fluoropyrrolo[2,3-b]pyridin-1-yl)-tri(propan-2-yl)silane
英文别名 PYRROLO[2,3-B]PYRIDINE,4-FLUORO-1-[TRIS(1-METHYLETHYL)SILYL];N-triisopropylsilyl-4-fluoro-7-azaindole;1H-PYRROLO[2,3-B]PYRIDINE,4-FLUORO-1-[TRIS(1-METHYLETHYL)SILYL];4-fluoro-1-(triisopropylsilyl)-1H-pyrrolo[2,3-b]pyridine;4-FLUORO-1-(TRIISOPROPYLSILANYL)-7-AZAINDOLE;4-fluoro-1-triisopropylsilanyl-1H-pyrrolo[2,3-b]pyridine;1-triisopropyl-4-fluoro-7-azaindole;4-fluoro-1-[tris(propan-2-yl)silyl]-1H-pyrrolo[2,3-b]pyridine;4-FLUORO-1-[TRIS(1-METHYLETHYL)SILYL]-1H-PYRROLO[2,3-B]PYRIDINE;
CAS号 640735-25-7
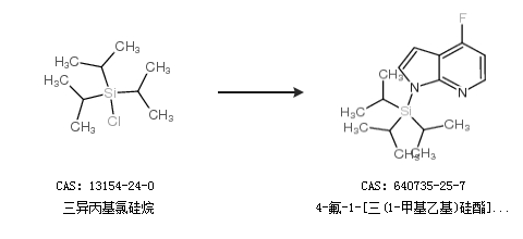
合成路线:
1.通过4-溴-1-三异丙基甲硅烷基-1H-吡咯并[2,3-b]吡啶合成4-氟-1-[三(1-甲基乙基)硅酯]-1H-吡咯并[2,3-B]吡啶,收率约89%;

2.通过三异丙基氯硅烷合成4-氟-1-[三(1-甲基乙基)硅酯]-1H-吡咯并[2,3-B]吡啶

中华试剂网提醒:合成路线仅供参考