基本信息:
中文名称 4,4''-联苯基二硼酸
中文别名 4,4''-联苯二硼酸;4,4''-二苯基二硼酸;4,4’-联苯基二硼酸;
英文名称 4,4′-Biphenyldiboronic acid
英文别名 [4-(4-boronophenyl)phenyl]boronic acid;4,4''-Biphenyldiboronic Acid;
CAS号 4151-80-8
合成路线:
1.通过4-溴苯硼酸合成4,4''-联苯基二硼酸,收率约5%;

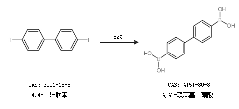
2.通过4,4-二碘联苯合成4,4''-联苯基二硼酸,收率约82%;

中华试剂网提醒:合成路线仅供参考