你好,欢迎来到中华试剂网 购试剂 买耗材! [请登录][注册有惊喜]

货号快速下单 | 签到送积分   | 会员中心 | 客服热线:400-021-2765

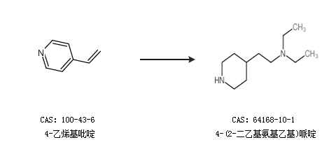
4-(2-二乙基氨基乙基)哌啶的合成路线

提问时间:2021/4/23 8:54:20
4-(2-二乙基氨基乙基)哌啶有什么方法可以合成?

1条回复:

匿名
2021/4/23 8:54:20
基本信息:
中文名称 4-(2-二乙基氨基乙基)哌啶
英文名称 N,N-diethyl-2-piperidin-4-ylethanamine
英文别名 N,N-diethyl--4-piperidineethanamine;
CAS号 64168-10-1

合成路线:
1.通过4-(2-二乙基氨基乙基)-吡啶合成4-(2-二乙基氨基乙基)哌啶,收率约86%;


2.通过4-乙烯基吡啶合成4-(2-二乙基氨基乙基)哌啶


中华试剂网提醒:合成路线仅供参考
回复