基本信息:
中文名称 3-甲氧基丙酸
中文别名 羧酸;
英文名称 3-methoxypropanoic acid
英文别名 3-Methoxypropanoic acid;Propanoic acid,3-methoxy;3-methoxy propionic acid;3-methoxypropanoic aci;Methoxypropionic acid;Propanoic acid,methoxy;3-Methoxypropionic acid;4-oxapentanoic acid;
CAS号 2544-06-1
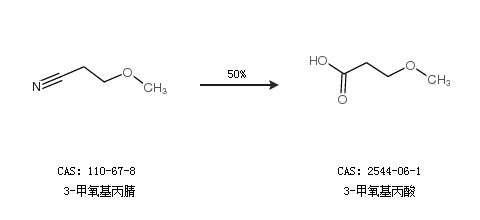
合成路线:
1.通过3-甲氧基丙酸甲酯合成3-甲氧基丙酸

2.通过3-甲氧基丙腈合成3-甲氧基丙酸,收率约50%;

中华试剂网提醒:合成路线仅供参考