基本信息:
中文名称 3-(4-氨基苯基)丙酸乙酯
英文名称 ETHYL 3-(4-AMINOPHENYL)PROPANOATE
英文别名 Benzenepropanoic acid,4-amino-,ethyl ester;4-Aminobenzenepropanoic acid,ethyl ester;ethyl 4-aminodihydrocinnamate;
CAS号 7116-44-1
合成路线:
1.通过4-硝基肉桂酸乙酯合成3-(4-氨基苯基)丙酸乙酯,收率约99%;

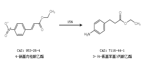
2.通过4-硝基肉桂酸乙酯合成3-(4-氨基苯基)丙酸乙酯,收率约15%;

中华试剂网提醒:合成路线仅供参考