基本信息:
中文名称 2-羟基喹啉-4-甲酸
中文别名 2-羟基-4-羧基喹啉;2-羟基喹啉-4-羧酸;
英文名称 1,2-Dihydro-2-Oxoquinoline-4-Carboxylic Acid
英文别名 2-Oxo-1,2-dihydroquinoline-4-carboxylic acid;2-oxo-1H-quinoline-4-carboxylic acid;2-Hydroxyquinoline-4-carboxylic acid;1,2-Dihydro-2-oxoquinoline-4-carboxylic acid;2-Hydroxycinchoninic acid;
CAS号 15733-89-8
合成路线:
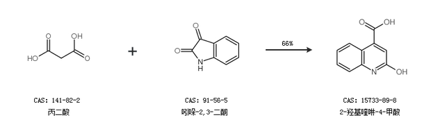
1.通过丙二酸和吲哚-2,3-二酮合成2-羟基喹啉-4-甲酸,收率约66%;

2.通过1-乙酰基靛红合成2-羟基喹啉-4-甲酸,收率约63%;

中华试剂网提醒:合成路线仅供参考