你好,欢迎来到中华试剂网 购试剂 买耗材! [请登录][注册有惊喜]

货号快速下单 | 签到送积分   | 会员中心 | 客服热线:400-021-2765

2-萘磺酰氯的合成路线

提问时间:2021/4/23 8:54:14
2-萘磺酰氯有什么方法可以合成?

1条回复:

匿名
2021/4/23 8:54:14
基本信息:
中文名称 2-萘磺酰氯
中文别名 萘-2-磺酰氯;β-萘磺酰氯;
英文名称 2-Naphthalenesulfonyl chloride
英文别名 naphthalene-2-sulfonyl chloride;
CAS号 93-11-8

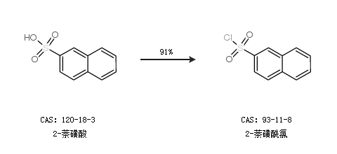
合成路线:
1.通过2-萘二硫醚合成2-萘磺酰氯,收率约98%;


2.通过2-萘磺酸合成2-萘磺酰氯,收率约91%;


中华试剂网提醒:合成路线仅供参考
回复