你好,欢迎来到中华试剂网 购试剂 买耗材! [请登录][注册有惊喜]

货号快速下单 | 签到送积分   | 会员中心 | 客服热线:400-021-2765

2-环己基-1,4-苯二醇的合成路线

提问时间:2021/4/23 8:54:13
2-环己基-1,4-苯二醇有什么方法可以合成?

1条回复:

匿名
2021/4/23 8:54:13
基本信息:
中文名称 2-环己基-1,4-苯二醇
英文名称 2-Cyclohexylbenzene-1,4-diol
英文别名 2-cyclohexylbenzene-1,4-diol;
CAS号 4197-75-5

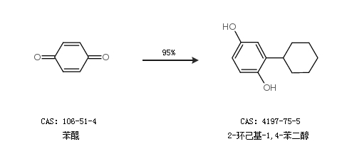
合成路线:
1.通过苯醌和环己烯合成2-环己基-1,4-苯二醇,收率约85%;


2.通过苯醌合成2-环己基-1,4-苯二醇,收率约95%;


中华试剂网提醒:合成路线仅供参考
回复