你好,欢迎来到中华试剂网 购试剂 买耗材! [请登录][注册有惊喜]

货号快速下单 | 签到送积分   | 会员中心 | 客服热线:400-021-2765

2-氟丙酸的合成路线

提问时间:2021/4/23 8:54:13
2-氟丙酸有什么方法可以合成?

1条回复:

匿名
2021/4/23 8:54:13
基本信息:
中文名称 2-氟丙酸
中文别名 2-氟苯丙酸;2-氟羧酸;
英文名称 2-Fluoropropionic Acid
英文别名 2-fluoropropanoic acid;
CAS号 6087-13-4

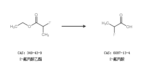
合成路线:
1.通过2-氟丙酸乙酯合成2-氟丙酸


2.通过DL-丙氨酸合成2-氟丙酸


中华试剂网提醒:合成路线仅供参考
回复