基本信息:
中文名称 2''-氟-4-联苯基甲醇
英文名称 [4-(2-fluorophenyl)phenyl]methanol
英文别名 2''-fluoro-4-biphenylmethanol;2''-fluorobiphenyl-4-ylmethanol;4-(2-FLUOROPHENYL)BENZYL ALCOHOL;(2''-Fluoro[1,1''-biphenyl]-4-yl)methanol;
CAS号 773872-57-4
合成路线:
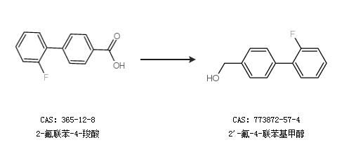
1.通过2-氟联苯-4-羧酸合成2''-氟-4-联苯基甲醇

中华试剂网提醒:合成路线仅供参考