基本信息:
中文名称 2-苯胺-4-氧代-4,5-二氢呋喃-3-羧酸
英文名称 2-anilino-4-oxofuran-3-carboxylic acid
英文别名 2-anilino-4-oxo-3-furoic acid;2-phenylamino-4,5-dihydro-4-oxo-3-furoic acid;2-anilino-4-oxo-4,5-dihydrofuran-3-carboxylic acid;2-Anilino-4-oxo-4,5-dihydro-3-furancarbonsaeure;
CAS号 58337-23-8
合成路线:
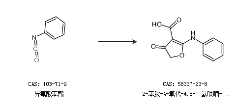
1.通过异氰酸苯酯合成2-苯胺-4-氧代-4,5-二氢呋喃-3-羧酸

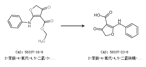
2.通过2-苯胺-4-氧代-4,5-二氢-3-呋喃羧酸乙酯合成2-苯胺-4-氧代-4,5-二氢呋喃-3-羧酸

中华试剂网提醒:合成路线仅供参考