基本信息:
中文名称 2-氨基苯酚-4-磺酰苯胺
英文名称 3-amino-4-hydroxy-N-phenylbenzenesulfonamide
英文别名 2-Aminophenol-4-sulfonanilide;2-amino-1-hydroxybenzene-4-sulphonic acid-N-phenylamide;3-Amino-4-hydroxy-benzolsulfonsaeure-anilid;3-Amino-4-hydroxybenzenesulfonanilide;4-Hydroxymetanilanilide;Benzenesulfonamide,3-amino-4-hydroxy-N-phenyl;Metanilanilide,4-hydroxy;2-amino-4-benzenesulfonamidophenol;3-amino-4-hydroxy-benzenesulfonic acid anilide;
CAS号 80-20-6
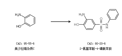
合成路线:
1.通过2-氨基苯酚-4-磺酸合成2-氨基苯酚-4-磺酰苯胺

2.通过美沙拉嗪杂质C合成2-氨基苯酚-4-磺酰苯胺

中华试剂网提醒:合成路线仅供参考