基本信息:
中文名称 2-氨基-4-氯-6-乙基嘧啶
中文别名 4-氯-6-乙基嘧啶-2-胺;
英文名称 4-chloro-6-ethylpyrimidin-2-amine
英文别名 2-Amino-4-chloro-6ethylpyrimidine;2-pyrimidinamine,4-chloro-6-ethyl;4-chloro-6-ethylpyrimidin-2-ylamine;4-ethyl-6-chloro-pyrimidin-2-ylamine;4-Aethyl-6-chlor-pyrimidin-2-ylamin;PYR058;
CAS号 5734-67-8
合成路线:
1.通过2-氨基-4-羟基-6-乙基嘧啶合成2-氨基-4-氯-6-乙基嘧啶

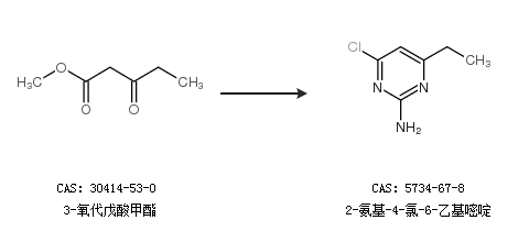
2.通过3-氧代戊酸甲酯合成2-氨基-4-氯-6-乙基嘧啶

中华试剂网提醒:合成路线仅供参考