基本信息:
中文名称 2-[5-(1,2,4-三唑-1-基甲基)-1H-吲哚-3-基]乙醇
中文别名 5-(1H-1,2,4-噻唑-1-甲基)-1H-吲哚-3-乙醇;
英文名称 2-[5-(1,2,4-triazol-1-ylmethyl)-1H-indol-3-yl]ethanol
英文别名 Rizatriptan benzoate impurity F [EP];1H-Indole-3-ethanol,5-(1H-1,2,4-triazol-1-ylmethyl);Des(dimethylamino)hydroxyrizatriptan;UNII-GUF1804OA0;2-[5-(1,2,4-triazol-1-ylmethyl)-1H-indol-3-yl]ethyl alcohol;
CAS号 160194-39-8
合成路线:
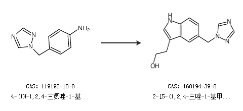
1.通过4-(1H-1,2,4-三氮唑-1-基甲基)苯胺合成2-[5-(1,2,4-三唑-1-基甲基)-1H-吲哚-3-基]乙醇

2.通过1-三乙基硅烷-4-三乙基硅氧烷-1-丁炔和2-碘-4-(1H-1,2,4-噻唑-1-甲基)苯胺合成2-[5-(1,2,4-三唑-1-基甲基)-1H-吲哚-3-基]乙醇

中华试剂网提醒:合成路线仅供参考