基本信息:
中文名称 2-[(2-吡啶基甲基)氨基]乙醇
中文别名 2-[N-甲基-N-(2-吡啶基)氨基]乙醇;
英文名称 2-[(Pyridin-2-ylmethyl)-amino]-ethanol
英文别名 2-[(Pyridin-2-ylmethyl)amino]ethanol;
CAS号 6636-71-1
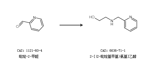
合成路线:
1.通过吡啶-2-甲醛和乙醇胺合成2-[(2-吡啶基甲基)氨基]乙醇,收率约61%;

2.通过吡啶-2-甲醛合成2-[(2-吡啶基甲基)氨基]乙醇

中华试剂网提醒:合成路线仅供参考