基本信息:
中文名称 2,6-二氯喹唑啉-4(3H)-酮
中文别名 2,6-二氯-4-羟基喹唑啉;2,6-二氯quizolin-4(3H)-酮;
英文名称 2,6-dichloro-1H-quinazolin-4-one
英文别名 2,6-Dichlor-4-oxo-3,4-dihydro-chinazolin;2,5-DICHLOROBENZONITRILE;2,6-dichloro-3H-quinazolin-4-one;
CAS号 20197-87-9
合成路线:
1.通过2,4,6-三氯喹唑啉合成2,6-二氯喹唑啉-4(3H)-酮,收率约87%;

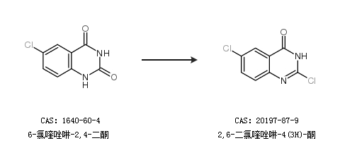
2.通过6-氯喹唑啉-2,4-二酮合成2,6-二氯喹唑啉-4(3H)-酮

中华试剂网提醒:合成路线仅供参考