基本信息:
中文名称 2,6-二氟吡啶-4-硼酸
英文名称 2,6-Difluoropyridine-4-boronic acid
英文别名 (2,6-difluoropyridin-4-yl)boronic acid;(2,6-Difluoropyridin-4-yl)boronic acid;
CAS号 401816-16-8
合成路线:
1.通过4-溴-2,6-二氟吡啶和硼酸三异丙酯合成2,6-二氟吡啶-4-硼酸,收率约33%;

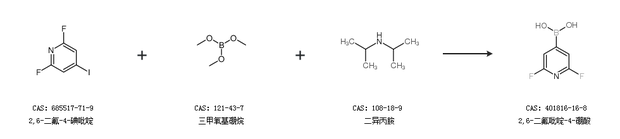
2.通过2,6-二氟-4-碘吡啶、三甲氧基硼烷和二异丙胺合成2,6-二氟吡啶-4-硼酸

中华试剂网提醒:合成路线仅供参考