基本信息:
中文名称 2,5-二甲基吡咯-3-乙酯
中文别名 2,5-二甲基吡咯-3-羧酸乙酯;
英文名称 ethyl 2,5-dimethyl-1H-pyrrole-3-carboxylate
英文别名 3-carboethoxy-2,5-dimethylpyrrole;2,5-dimethyl-1H-pyrrole-3-carboxylic acid ethyl ester;2,5-dimethyl-4-ethoxycarbonylpyrrole;2,5-Dimethyl-pyrrol-3-carbonsaeure-aethylester;Ethyl 2,5-Dimethylpyrrole-3-carboxylate;2,5-dimethyl-pyrrole-3-carboxylic acid ethyl ester;
CAS号 2199-52-2
合成路线:
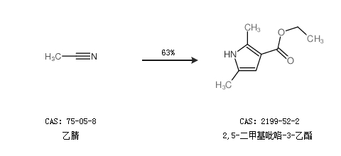
1.通过乙腈合成2,5-二甲基吡咯-3-乙酯,收率约63%;

2.通过重氮乙酸乙酯和3-氨基巴豆酸乙酯合成2,5-二甲基吡咯-3-乙酯

中华试剂网提醒:合成路线仅供参考