基本信息:
中文名称 2,4-二硝基苯磺酸水合物
中文别名 2,4-二硝基苯磺酸二水合物;2,4-二硝基苯磺酸,水合;2,4-二硝基苯磺酸;
英文名称 2,4-dinitrobenzenesulfonic acid
英文别名 ;2,4-Dinitrobenzenesulfonic acid hydrate;2,4-DINITROBENZENESULFONIC ACID;
CAS号 89-02-1
合成路线:
1.通过1-氯-2,4-二硝基苯合成2,4-二硝基苯磺酸水合物,收率约95%;

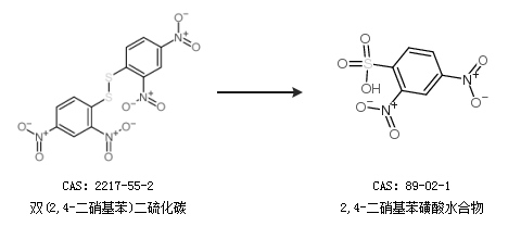
2.通过双(2,4-二硝基苯)二硫化碳合成2,4-二硝基苯磺酸水合物

中华试剂网提醒:合成路线仅供参考