基本信息:
中文名称 2,4-二甲基噻唑-5乙酸乙酯
中文别名 2-(2,4-二甲基噻唑-5-基)乙酸乙酯;
英文名称 Ethyl 2-(2,4-dimethylthiazol-5-yl)acetate
英文别名 ethyl 2-(2,4-dimethyl-1,3-thiazol-5-yl)acetate;
CAS号 405921-41-7
合成路线:
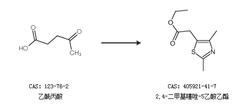
1.通过乙酰丙酸合成2,4-二甲基噻唑-5乙酸乙酯

2.通过乙醇、硫代乙酰胺和乙酰丙酸合成2,4-二甲基噻唑-5乙酸乙酯

中华试剂网提醒:合成路线仅供参考