基本信息:
中文名称 2,4-二甲基恶唑-5-甲醛
中文别名 2,4-二甲基噁唑-5-甲醛;
英文名称 2,4-dimethyl-1,3-oxazole-5-carbaldehyde
英文别名 2,4-DIMETHYL-OXAZOLE-5-CARBALDEHYDE;2,4-Dimethyloxazole-5-carboxaldehyde;2,4-dimethyl-5-oxazolecarboxaldehyde;
CAS号 69062-86-8
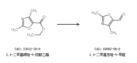
合成路线:
1.通过2,4-二甲基-5-噁唑甲醇合成2,4-二甲基恶唑-5-甲醛,收率约50%;

2.通过2,4-二甲基噁唑-5-羧酸乙酯合成2,4-二甲基恶唑-5-甲醛

中华试剂网提醒:合成路线仅供参考