你好,欢迎来到中华试剂网 购试剂 买耗材! [请登录][注册有惊喜]

货号快速下单 | 签到送积分   | 会员中心 | 客服热线:400-021-2765

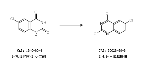
2,4,6-三氯喹唑啉的合成路线

提问时间:2021/4/23 8:54:11
2,4,6-三氯喹唑啉有什么方法可以合成?

1条回复:

匿名
2021/4/23 8:54:11
基本信息:
中文名称 2,4,6-三氯喹唑啉
英文名称 2,4,6-TRICHLOROQUINAZOLINE
英文别名 2,4,6-Trichlor-chinazolin;2,4,6-trichloro-quinazoline;
CAS号 20028-68-6

合成路线:
1.通过6-氯喹唑啉-2,4-二酮合成2,4,6-三氯喹唑啉,收率约91%;


2.通过6-氯喹唑啉-2,4-二酮合成2,4,6-三氯喹唑啉


中华试剂网提醒:合成路线仅供参考
回复