基本信息:
中文名称 2,3-二氧代丁酸乙酯
英文名称 Ethyl 2,3-dioxobutanoate
英文别名 Butanoic acid,2,3-dioxo-,ethyl ester;2,3-dioxo-butyric acid ethyl ester;Ethyl 2-oxoacetoacetate;2,3-Dioxopropionsaeure-ethylester;ethyl 2,3-dioxobutyrate;ethyl dioxobutanoate;
CAS号 1723-25-7
合成路线:
1.通过乙二酸二乙酯合成2,3-二氧代丁酸乙酯

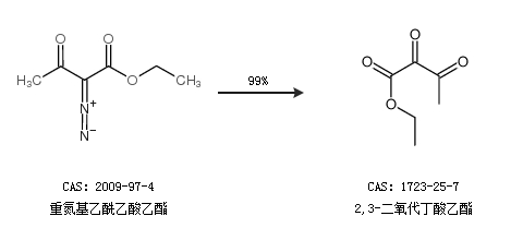
2.通过重氮基乙酰乙酸乙酯合成2,3-二氧代丁酸乙酯,收率约99%;

中华试剂网提醒:合成路线仅供参考