基本信息:
中文名称 2,3,6,7-四甲基-1,5-二氮杂双环[3.3.0]-2,6-辛二烯-4,8-二酮
英文名称 1,2,5,6-tetramethylpyrazolo[1,2-a]pyrazole-3,7-dione
英文别名 2,3,6,7-tetramethyl-pyrazolo[1,2-a]pyrazole-1,5-dione;9,10-dioxa-anti-(methyl,methyl)bimane;anti-(CH3,CH3)-Binian;anti-bimane;1H,5H-Pyrazolo[1,2-a]pyrazole-1,5-dione,2,3,6,7-tetramethyl;2,3,6,7-Tetramethyl-1,5-diazabicyclo[3.3.0]octa-2,6-diene;anti-(Methyl,methyl)bimane;3,4,7,8-tetramethyl-1,5-diazabicyclo<3.3.0>octa-3,7-diene-2,6-dione;2,3,6,7-TETRAMETHYL-1,5-DIAZABICYCLO[3.3.0]OCTA-2,6-DIENE-4,8-DIONE;3,4,7,8-tetramethyl-1,5-diaza-bicyclo(3.3.0)octa-3,7-dien-2,6-dione;
CAS号 68654-23-9
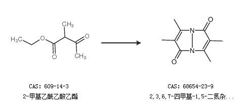
合成路线:
1.通过2,3,5,6-四甲基-1H,7H-吡唑并[1,2-a]吡唑-1,7-二酮合成2,3,6,7-四甲基-1,5-二氮杂双环[3.3.0]-2,6-辛二烯-4,8-二酮,收率约64%;

2.通过2-甲基乙酰乙酸乙酯合成2,3,6,7-四甲基-1,5-二氮杂双环[3.3.0]-2,6-辛二烯-4,8-二酮

中华试剂网提醒:合成路线仅供参考