基本信息:
中文名称 2,3,4,5-四氯三氟甲苯
英文名称 1,2,3,4-tetrachloro-5-(trifluoromethyl)benzene
英文别名 2,3,4,5-tetrachlorobenzotrifluoride;2,3,4,5-tetrachlorotrifluoromethylbenzene;1,2,3,4-Tetrachloro-5-trifluoromethylbenzene;tetrachlorobenzotrifluoride;
CAS号 97985-54-1
合成路线:
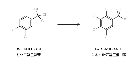
1.通过3,4-二氯三氯苄合成2,3,4,5-四氯三氟甲苯

2.通过一氟三氯甲烷和1,2,3,4-四氯苯合成2,3,4,5-四氯三氟甲苯,收率约91%;

中华试剂网提醒:合成路线仅供参考